热门关键词: 高压开关动作特性测试仪 断路器特性测试仪 变压器综合测试系统 承装承试设备选型 高压开关测试仪 变压器综合测试 串联谐振

联系我们

及时联系我们为您解答产品相关疑问 欢迎拨打全国统一服务热线

销售电话: 027-8777 1781
                027-8777 1782
服务电话 133 9713 6633 
传真电话: 027-8777 1786
电子邮箱: whhdgk@126.com

无并联电阻的避雷器需注意的事项

您的位置:首页 >> 服务支持 >> 技术文章

1.电压测量问题。FS型避雷器在间隙未击穿钱,泄漏电流是很小的,如果保护电阻R的数值不大,可以认为变压器高压侧的电阻即是作用与避雷器上的电压。因此,可以近似地根据变压器的变比和低压侧电压表的读数来求避雷器的放电电压。但最好能先校验一下变压器的变比,低压侧电压表的准确度不能太低,一般应为0.5级,否则容易造成误判断。

2.保护电阻R的选择问题。如果R选择太小,会使间隙烧坏,如果选择的较大,往往会使测得的工频放电电压偏高,因为此时避雷器虽已放电,由于R值过大,电流较小,还不足以在间隙中建立稳定的电弧,当电压继续升高后,火花间隙中才建立起稳定的电弧,表计才有反映,这样就使得测得的工频放电电压超过真实的数值,造成误判断,将工频放电电压偏低的避雷器误认为合格。考虑到实际运行中,避雷器与电源间是没有串联超过0.7A为宜。选择R时间。可参考下列式:

QQ截图20160427090622 

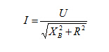
式中

Ι——通过避雷器的电力,A

U——估计的避雷器的放电电压,V

B——试验变压器的短路电抗(折算到高压侧的值),Ω;

R——加入的限流电阻值,Ω。

但要注意,间隙击穿后,电流应在0.5s内切断,以免间隙烧坏。如果电流被限制在15μA以内,则切断时间不限,但应尽量快。

3.升压速度问题。试验时,升压速度不宜太快,以免电压表由于机械惯性作用而得不到正确的读数。升压速度一般可控制为:

10kV及以下避雷器     3~5kV/s;

20~35kV的避雷器      15~20kV/s。

一般来说,从加压开始,升到避雷器放电,大致经过5~7s的时间,这样的升压速度在试验变压器低压侧的电压表上是能够准确反映出来的。

4.放电的时间间隔问题。放电钱后要保持一定的时间间隙,以免由于两次放电的时间间隔太短,间隙内部灭有充分去游离,而造成放电电压偏低或分散性较大。一般时间间隙不少于1min。

QQ截图20160427091407

 



 有关产品购买、信息咨询、技术资料等欢迎致电:027-87771780 或是 点击了解更多详细方案
上一篇: 电气设备绝缘外加交流试验电压交流耐压试验
下一篇: 高压开关设备正确认识断路器主要参数
版权说明:本站所有文章、图片、视频等资料的版权均属于武汉华电高科电气设备有限公司,其他任何网站或单位未经允许禁止转载、用于商业盈利,违者必究。如需使用,请与我们联系;允许转载的文章、图片、视频等资料请注明出处"来自:武汉华电高科"。

荣誉客户

荣誉资质


<!--百度商桥代码(2019-7-16添加)-->